加入购物车成功!
介绍:
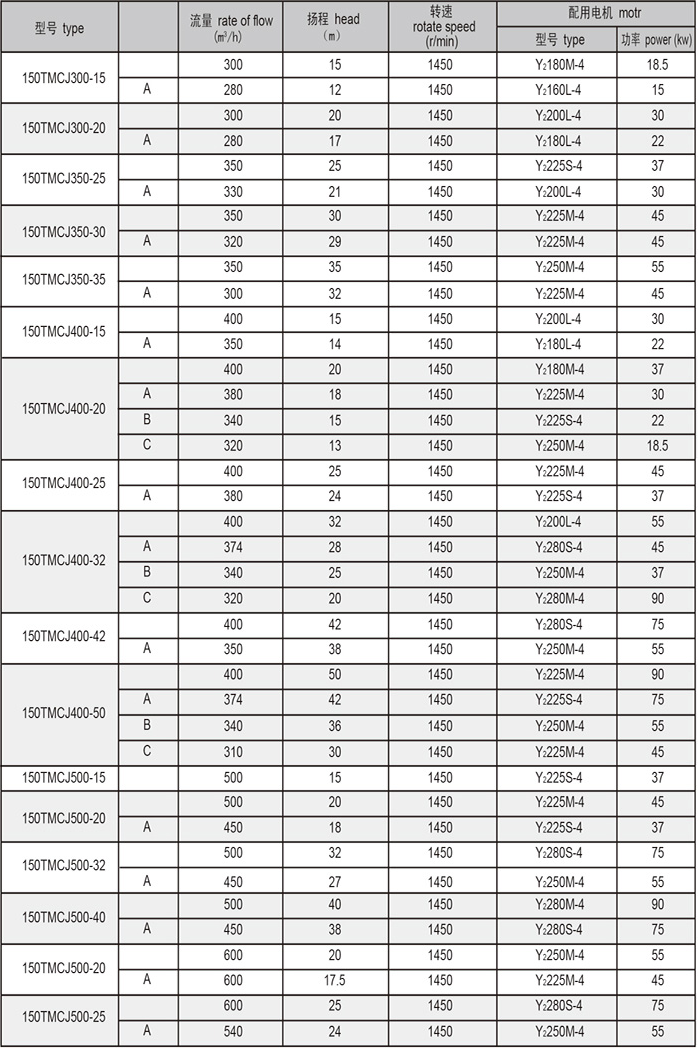
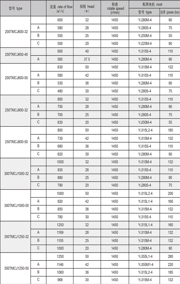
该泵是我公司根据所输送的浆料介质的固、液、气的混合特性。吸收国内外xj****经验和技术,而设计的新型输送浆液泵。广泛使用于制浆,制纸工业苛刻环境,采用全开式大流量精铸叶轮,提高了输浆的浓度,叶轮与内测板的间隙可以调节,使泵能连续在有效区运行,轴封以机械密封为主,可选用填料密封,轴承全部采用重型轴单元设计,具轴承间距大,轴承体贮油室空间大,贮油量充足润滑和冷却效果好同时支撑牢固,增加了泵的承载可靠性,泵壳采用前后对开门式结构便于维护和保养工作的实施,还大大降低了劳动强度和工作时间,从而节约了能源,增长了使用寿命。该产品为本公司zl****产品,*********为ZL200720038808.4适用于输送工作温度≤100℃浆浓度≤5%的浆料液体。









上一篇:无
下一篇:WZJ型无堵塞纸浆泵
相关产品:
-
WZJ型无堵塞纸浆泵
价格 : 6432~27450¥ -
TMCJ型纸浆泵
价格 : 8000~23925¥






